Beranda
/ Soal Pilihan Ganda Akuntansi Keuangan Menengah 1 / Contoh Soal Akm Ii Tugas Akuntansi Keuangan Menengah Ii Pengertian Contingent Liability Dan Contohnya Kewajiban Kewajiban Yang Dihasilkan Oleh Beberapa Studocu - Kalimat tersebut merupakan definisi dari.
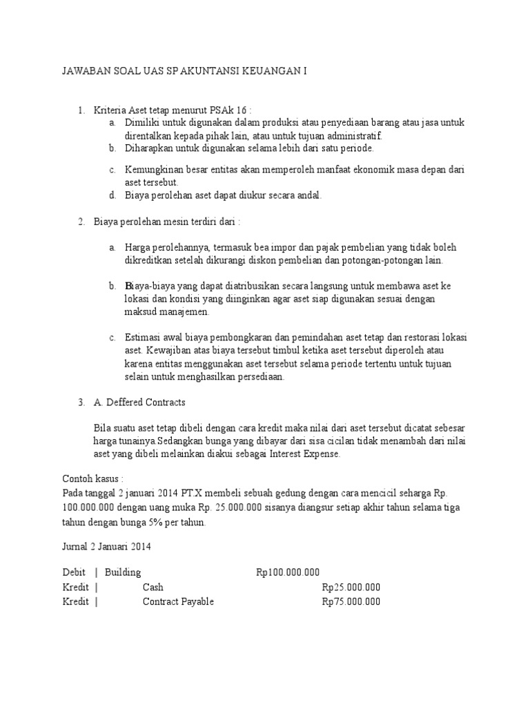
Soal Pilihan Ganda Akuntansi Keuangan Menengah 1 / Contoh Soal Akm Ii Tugas Akuntansi Keuangan Menengah Ii Pengertian Contingent Liability Dan Contohnya Kewajiban Kewajiban Yang Dihasilkan Oleh Beberapa Studocu - Kalimat tersebut merupakan definisi dari.
Soal Pilihan Ganda Akuntansi Keuangan Menengah 1 / Contoh Soal Akm Ii Tugas Akuntansi Keuangan Menengah Ii Pengertian Contingent Liability Dan Contohnya Kewajiban Kewajiban Yang Dihasilkan Oleh Beberapa Studocu - Kalimat tersebut merupakan definisi dari.. Isikan identitas anda ke dalam lembar jawaban test kendali mutu (ljtkm) yang tersedia dengan menggunakan pensil 2b sesuai petunjuk di ljtkm. Soal akuntansi kelas 12 beserta jawaban guru ilmu sosial soal pkn kelas xi semester 1 essay soal uas mtk kelas 12 semester 1 pilihan ganda k13 jawaban 01 rpp kd 1 pajak kelas xii semester 1 aploud. Kalimat tersebut merupakan definisi dari. Itulah yang dapat kami bagikan terkait contoh soal uts akuntansi keuangan menengah 1 dan jawabannya. Soal akuntansi keuangan menengah lengkap jawaban latihan soal pilihan ganda materi akuntansi keuangan menengah beserta jawaban dilihat dari bukti kepemilikan obligasi obligasi dapat dibedakan menjadi 2 dua jenis yaitu.
Contoh soal akuntansi keuangan menengah. Catatan imam latihan soal akuntansi biaya pertemuan 2. Brp akuntansi keuangan 2 2013 2014. Harga jual tv rp 500.000 per unit dan harga pokoknya adalah rp 350.000 per unit. Isikan identitas anda ke dalam lembar jawaban test kendali mutu (ljtkm) yang tersedia dengan menggunakan pensil 2b sesuai petunjuk di ljtkm.
Akuntansi Keuangan Lanjutan 1 Berbasis Psak E2 Dwi Martani Dkk from leksikabookstore.com Kesalahan seperti penghasilan sewa yang diperlakukan sebagai penghasilan bunga merupakan salah satu contoh kesalahan pada: Harga jual tv rp 500.000 per unit dan harga pokoknya adalah rp 350.000 per unit. Soal pilihan ganda mengenai akuntansi keuangan menengah. Liesti yang bergerak dibidang percetakan selama tahun 2010, Latihan soal pilihan ganda bab akuntansi keuangan menengah 1. Jumlah soal ada 40 soal berbentuk pilihan ganda. Contoh soal laporan keuangan akuntansi dan jawaban telah saya buatkan artikel pada menu akuntansi baik akuntansi keuangan menengah atau akuntansi keuangan lanjutan. ÃŒnformasi umum ocw akuntansi keuangan 1.
Soal essay dan soal pilihan ganda akuntansi dasar dapat dipelajari guna mengetahui siklus dasar akuntansi.
Contoh soal akuntansi keuangan menengah. Kumpulan contoh soal rekonsiliasi bank. Jawaban soal pilihan ganda 1 c 6 d 11 d 16 c 21 e 2 a 7 e 12 e 17 c 22 a 3 c 8 a 13 c 18 c 23 d 4 c 9 c 14 e 19 c 24 a 5 a 10 c 15 c 20 d 25 e demikian soal. 15 soal akuntansi keuangan menengah lengkap jawaban latihan soal pilihan ganda bab akuntansi keuangan menengah. Contoh soal akuntansi keuangan menengah 2 dan jawabannya ilmusosial id. Kumpulan soal pilihan ganda materi akuntansi keuangan menengah. Akuntansi keuangan menengah 1 kelompok 10 nama anggota kelompok : Brp akuntansi keuangan 2 2013 2014. Dibawah ini merupakan transaksi yang ada di pt. Guru sd smp sma contoh soal akuntansi keuangan lanjutan 2 dan jawabannya. Contoh file soal uts lengkap kelas 1 6 sd mi semua mata pelajaran 2016 2017 berikut ini adalah kumpulan dari berbagi sumber tentang contoh soal akuntansi keuangan menengah 2 dan jawabannya yang bisa gunakan untuk bank soal download sd dan diunduh secara gratis dengan menekan tombol download biru dibawah ini. Dilihat dari bukti kepemilikan obligasi, obligasi dapat dibedakan menjadi 2 (dua) jenis, yaitu …. Kesalahan seperti penghasilan sewa yang diperlakukan sebagai penghasilan bunga merupakan salah satu contoh kesalahan pada:
Angelina daniella ulricha sepang 19061104174 2. Soal akuntansi kelas xi semester 2 dan kunci jawaban. Hitamkan bulatan di depan nama mata ujian pada ljtkm. Contoh soal persamaan dasar akuntansi dan laporan keuangan. Sitti aisyah jay a siti emilisa harmida.
Soal Jawab Akuntansi Lanjutan 2 from image.slidesharecdn.com Itulah yang dapat kami bagikan terkait contoh soal uts akuntansi keuangan menengah 1 dan jawabannya. Contoh soal pilihan ganda akuntansi beserta jawaban dan pejelasannya akuntansi akuntan monday december 16 2019 2 comments. Nah untuk mendapatkan laporan keuangan yang baik kita harus terbiasa dan paham bagaimana cara penyelesaian. 10 contoh soal persamaan reaksi pilihan ganda dan jawabannya a. Bagi anda yang ingin mengetahui contoh soal teks eksplanasi beserta jawabannya silahkan lihat link di bawah ini. Obligasi atas nama (registered bonds), dan obligasi atas unjuk (beared bonds). Akuntansi penjualan angsuran beserta contoh soal. Contoh file soal uts lengkap kelas 1 6 sd mi semua mata pelajaran 2016 2017 berikut ini adalah kumpulan dari berbagi sumber tentang contoh soal akuntansi keuangan menengah 2 dan jawabannya yang bisa gunakan untuk bank soal download sd dan diunduh secara gratis dengan menekan tombol download biru dibawah ini.
Tersedia waktu 120 menit untuk mengerjakan jenis soal tersebut.
Contoh soal dasar dasar akuntansi. Kalimat tersebut merupakan definisi dari. Perseroan terbatas yang menerbitkan saham tidak untuk dijual kepada masyarakat umum, tetapi hanya untuk dimiliki oleh beberapa orang tertentu saja, dan biasanya merupakan perusahaan keluarga digolongkan dalam perseroan terbatas. 45 soal akuntansi keuangan menengah lengkap jawaban latihan soal pilihan ganda bab akuntansi keuangan menengah perseroan terbatas yang menerbitkan saham tidak untuk dijual kepada masyarakat umum tetapi hanya untuk dimiliki oleh beberapa orang tertentu saja dan biasanya merupakan perusahaan keluarga digolongkan dalam perseroan terbatas. Isikan identitas anda ke dalam lembar jawaban test kendali mutu (ljtkm) yang tersedia dengan menggunakan pensil 2b sesuai petunjuk di ljtkm. Jumlah soal ada 40 soal berbentuk pilihan ganda. Soal jawab akuntansi keuangan menengah ii tugas kelompok. Tersedia waktu 120 menit untuk mengerjakan jenis soal tersebut. Contoh soal laporan keuangan akuntansi dan jawaban telah saya buatkan artikel pada menu akuntansi baik akuntansi keuangan menengah atau akuntansi keuangan lanjutan. Soal akuntansi kelas xi semester 2 dan kunci jawaban. Soal akuntansi keuangan menengah lengkap jawaban latihan soal pilihan ganda materi akuntansi keuangan menengah beserta jawaban dilihat dari bukti kepemilikan obligasi obligasi dapat dibedakan menjadi 2 dua jenis yaitu. Bagi anda yang ingin mengetahui contoh soal teks eksplanasi beserta jawabannya silahkan lihat link di bawah ini. Penjualan yang pembayarannya akan diterima dalam jangka waktu tertentu setelah penjualan dilakukan sesuai dengan kesepakatan antara penjual dan pembeli.
Berikut ini adalah 35 contoh soal pilihan ganda dasar dasar akuntansi + jawabanya jurusan akuntansi, semoga bermanfaat. Soal pilihan ganda akuntansi keuangan kelas xi smk mei 16, 2021 posting komentar klik disini. Soal jawab akuntansi keuangan menengah ii tugas kelompok. Catatan imam latihan soal akuntansi biaya pertemuan 2. Brp akuntansi keuangan 2 2013 2014.
Macc 2019 Himpunan Mahasiswa Magister Akuntansi Universitas Gadjah Mada from himma.maksi.ugm.ac.id Contoh soal akuntansi keuangan menengah. Akuntansi penjualan angsuran beserta contoh soal. Materi pelajaran ini diajarkan selama satu tahun pada kelas xi. Hak pemegang saham memperoleh kesempatan. Contoh soal persamaan dasar akuntansi dan laporan keuangan. Kalimat tersebut merupakan definisi dari. Soal akuntansi kelas 12 beserta jawaban guru ilmu sosial soal pkn kelas xi semester 1 essay soal uas mtk kelas 12 semester 1 pilihan ganda k13 jawaban 01 rpp kd 1 pajak kelas xii semester 1 aploud. Soal pilihan ganda mengenai akuntansi keuangan menengah.
Dan metode saldo menurun ganda dalam menentukan penghasilan kena pajak pkp.
Dan metode saldo menurun ganda dalam menentukan penghasilan kena pajak pkp. Tersedia waktu 120 menit untuk mengerjakan jenis soal tersebut. Jawaban soal pilihan ganda 1 c 6 d 11 d 16 c 21 e 2 a 7 e 12 e 17 c 22 a 3 c 8 a 13 c 18 c 23 d 4 c 9 c 14 e 19 c 24 a 5 a 10 c 15 c 20 d 25 e demikian soal. Angelina daniella ulricha sepang 19061104174 2. Contoh soal akuntansi keuangan menengah. Contoh soal pilihan ganda rekonsiliasi bank beserta jawabannya. Soal uts akuntansi keuangan kelas xi smk. Soal akuntansi kelas xi semester 2 dan kunci jawaban. Catatan imam latihan soal akuntansi biaya pertemuan 2. Penjualan yang pembayarannya akan diterima dalam jangka waktu tertentu setelah penjualan dilakukan sesuai dengan kesepakatan antara penjual dan pembeli. Isikan identitas anda ke dalam lembar jawaban test kendali mutu (ljtkm) yang tersedia dengan menggunakan pensil 2b sesuai petunjuk di ljtkm. Latihan soal pilihan ganda bab akuntansi keuangan menengah 1. Sitti aisyah jay a siti emilisa harmida.
Berbagi
Posting Komentar
untuk "Soal Pilihan Ganda Akuntansi Keuangan Menengah 1 / Contoh Soal Akm Ii Tugas Akuntansi Keuangan Menengah Ii Pengertian Contingent Liability Dan Contohnya Kewajiban Kewajiban Yang Dihasilkan Oleh Beberapa Studocu - Kalimat tersebut merupakan definisi dari."
Posting Komentar untuk "Soal Pilihan Ganda Akuntansi Keuangan Menengah 1 / Contoh Soal Akm Ii Tugas Akuntansi Keuangan Menengah Ii Pengertian Contingent Liability Dan Contohnya Kewajiban Kewajiban Yang Dihasilkan Oleh Beberapa Studocu - Kalimat tersebut merupakan definisi dari."